This website requires JavaScript.
Explore
Help
Sign In
Public
/
winfsp
Watch
1
Star
0
Fork
0
You've already forked winfsp
mirror of
https://github.com/winfsp/winfsp.git
synced
2025-10-31 12:08:41 -05:00
Code
Activity
Files
8f01618fad562220dd45f56385e384906045164d
winfsp
/
doc
/
WinFsp-Performance-Testing
/
mmap_read_test.png
Bill Zissimopoulos
6023efa7e6
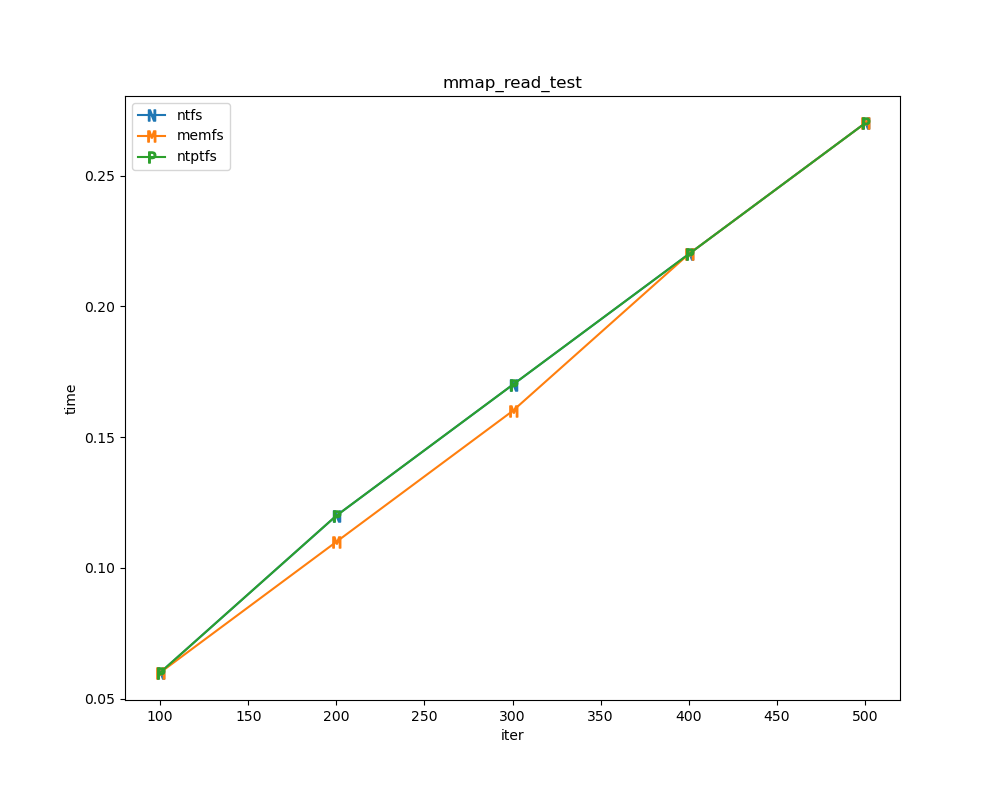
doc: WinFsp Performance Testing
...
Update with new tests and analysis for 2022.
2022-06-06 00:32:15 +01:00
41 KiB
1000x800px
Raw
History