1
0
mirror of https://github.com/winfsp/winfsp.git synced 2025-12-24 04:52:44 -06:00
Files
winfsp/doc/WinFsp-Performance-Testing/mmap_read_test.png
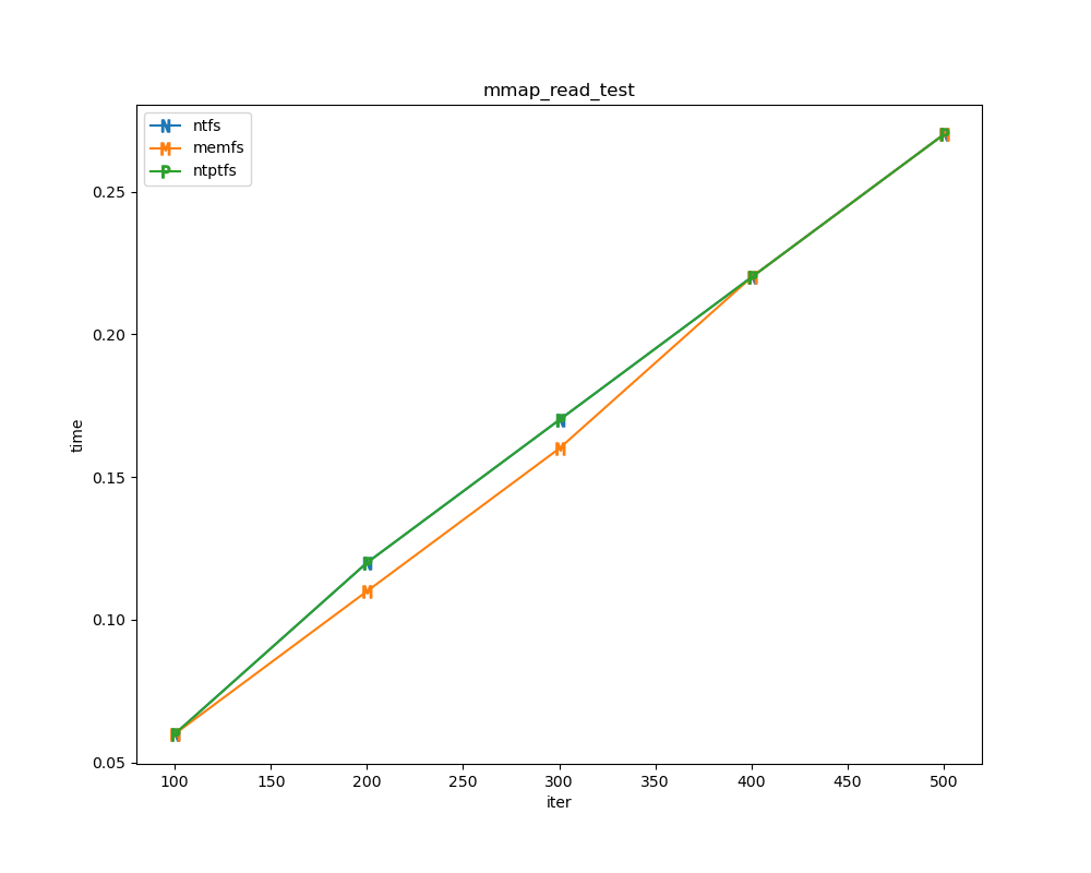
Bill Zissimopoulos 6023efa7e6 doc: WinFsp Performance Testing
Update with new tests and analysis for 2022.
2022-06-06 00:32:15 +01:00

41 KiB
1000x800px